Vol 6 No 1 (2025)
Research Article
Ethidium bromide dye is extensively used in biotechnology laboratories. Being a hazardous dye, laboratory effluent severely affects environment and requires safe disposal. Present paper investigates photocatalytic degradation of Ethidium bromide dye before it is released into environment. Environmental risk assessment reveals that TiO2 assisted photocatalytic treatment of Ethidium bromide laboratory waste can be recommended as safe to environment but it needs to be accompanied with tertiary treatment before used widely.
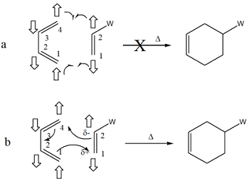
Clarifying Aromaticity and Delocalization with the Principle of π-Electron Pair Interaction (PEPI)
Valence bond (VB) theory and Molecular Orbital (MO) theory are foundational approaches to understanding chemical bonding. While MO theory describes delocalized orbitals across the molecule and offers quantitative rigor, VB theory aligns closely with classical chemical concepts, using localized bonds and hybridization for intuitive understanding. However, VB theory’s treatment of delocalized systems, such as aromatic compounds, relies on resonance structures, which are less efficient and may cause misconceptions compared to the methodology of MO theory. To address this, the Principle of π-Electron Pair Interaction (PEPI) is introduced as a heuristic framework to extend the qualitative power of VB theory. A visual guide is provided by PEPI to aid in understanding when π-electrons may resist delocalization due to pairing constraints. The model is intended to complement MO theory and is presented not as a physical principle, but as an interpretive aid that offers clarity in systems such as butadiene, benzene, and selected pericyclic reactions. It is demonstrated how PEPI can illuminate concepts such as aromaticity, antiaromaticity, misinterpretations of resonance, and stereoelectronic trends in a conceptually accessible manner. PEPI proposes that electron spin should be taken into account when evaluating resonance structures, particularly in the context of aromaticity. By reframing PEPI as a pedagogical tool, alignment is achieved with quantum mechanical models while the intuitive appeal of VB theory is preserved.
The quest for novel bioactive heterocyclic frameworks continues to be a focal point in modern organic and medicinal chemistry. In this context, haloindole carboxaldehydes have emerged as valuable and versatile synthetic intermediates due to their electron-rich indole core, electrophilic aldehyde function, and tunable halogen substituents. This study presents a comprehensive synthetic and spectroscopic investigation of haloindole carboxaldehydes, aiming to harness their reactivity for the rational design and construction of structurally diverse heterocyclic compounds with potential pharmacological relevance. A series of halogenated indole-3-carboxaldehyde derivatives were synthesized via regioselective halogenation, followed by formylation under Vilsmeier–Haack conditions. Their structures were elucidated and confirmed through extensive spectroscopic characterization, including ¹H NMR, ¹³C NMR, FT-IR, UV–Vis, and mass spectrometry. Furthermore, the influence of different halogen atoms (Cl, Br, I) on the reactivity and electronic behavior of the aldehydes was systematically evaluated using electron spin resonance (ESR) and high-performance liquid chromatography (HPLC) analyses. The synthetic utility of these haloindole aldehydes was further demonstrated through their condensation with active methylene and amino compounds, facilitating the formation of fused heterocyclic systems such as β-carbolines, indolylpyrazoles, and oxazoles. Preliminary in silico screening of the resulting scaffolds revealed promising drug-likeness profiles and potential interactions with biological targets, highlighting their value in drug discovery. This work underscores the significance of haloindole carboxaldehydes as multifunctional building blocks for the development of complex molecular architectures with potential applications in therapeutic chemistry.
Photocatalysis of Giemsa Dye: An Approach towards Biotechnology Laboratory Effluent Treatment
Present investigation analyzes various water quality parameters after TiO2 assisted photocatalytic degradation of Giemsa Dye in aqueous suspension. Significant changes were noted in alkalinity, turbidity, hardness, nitrate, calcium ion concentration, chloride ion concentration, magnesium ion concentration, COD, BOD, sulfate ion concentration, temperature and pH. At pH 2 investigated parameters were found within the WHO standards of drinking water. Environmental risk assessment reveals that beside photocatalytic treatment, waste disposal methodology still needs to be accompanied with secondary treatment of water.
Case Report
Features of Metal Hydrides for Hydrogen Storage
The aluminum–nickel alloy samples did not exhibit any hydrogenation under the tested conditions. Titanium powders absorbed hydrogen up to 3.8 wt.% at 12 atm and 700°C, which is slightly lower than the theoretical value of 4.04 wt.% for TiH₂. Lithium hydride (LiH) samples demonstrated high absorption capacity: at 700°C and 12 atm, the hydrogen content in lithium reached 12.5 wt.%. Therefore, achieving high absorption levels (> 6 wt.%) requires high temperatures (around 700 °C) and elevated pressures (> 15 atm).

leena Bharadwaj, Sarita Mishra
